Knowledge Base
What is potential and potential difference between two points
The concept of electric potential is one of the important foundations of the theory of electrostatics and electrodynamics. Understanding its essence is a prerequisite for further...
What is the permittivity
What is dielectric permittivity, definition, formulas, units of measurement. The dielectric permittivity of various substances. Dielectric constant and capacitance of a capacitor.
When and for what soldering rosin is used
Why rosin is needed for soldering. The main properties and types of rosin. How rosin is rosin made? Is rosin harmful?
How the piezo element works and what the piezo effect is
What the piezo effect is. Substances that have a piezo effect. Properties and characteristics of substances with piezo effect. The use of the piezo effect.
Checking Car Battery Electricity with a Multimeter
To check the condition of a car battery it is not necessary to have professional equipment, industrial stands, etc. All necessary and sufficient for a car owner...
What is an electric current in simple words
How electric current occurs. The direction of current. Conditions for maintaining electric current in a circuit: free charge carriers, electric field, third-party force for...
What is inductance, how is it measured, basic formulas
What is inductance: definition, units, formulas. The phenomenon of self-induction. Series and parallel connection of inductances. Quality factor of an inductor coil. Designs of inductor coils.
What is capacitance, how is it measured, and what does it depend on?
Definition of electrical capacitance, units and formulas. Calculation of the electrical capacitance of capacitors. Applications of capacitors their types and designs.
What is PWM - pulse width modulation
What is PWM - pulse width modulation. The principle of operation of PWM. PWM signal characteristics. The difference between PWM and PWM. Where PWM is used.
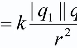
Coulomb's law, definition and formula - electric point charges and their interaction
Interaction of stationary point charges in a vacuum. Coefficient of proportionality k and electrical constant in Coulomb's law formula. Definition of Coulomb's law. Direction...
The Lorentz force and the rule of the left hand. The motion of charged particles in a magnetic field
What is the Lorentz force - definition, when it occurs, formula, units of measurement. Finding the direction of the Lorentz force using the Left Hand Rule....
Determining the direction of the magnetic induction vector using the rule of the drill and the rule of the right hand
Determining the direction of the vector of magnetic induction lines using the boravnik rule and the right-hand rule. Simple and straightforward explanation. What are...
What are the professions associated with electricity
A description of electrical related occupations, their duties and detailed descriptions. What is the job of an electrician and electric mechanic, pros and cons...
What is the difference between conductors and dielectrics, their properties and applications
What substances are called dielectrics, properties and characteristics of conductors and dielectric materials. Varieties and classification of dielectrics. Where are dielectrics used?
The history of electricity discovery
History of the emergence of electricity. What is electricity, who invented it, and in what year? How is electricity generated, and where does current come from?